더북(TheBook)

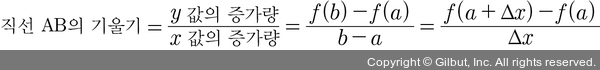
이 그래프에서 x 값의 증가량은 b - a이고, y 값의 증가량은 f( b) - f(a)입니다. 이를 Δ를 써서 표현하면 x 값의 증가량은 Δx로, y 값의 증가량은 f(a + Δ x) - f(a)로 나타낼 수 있습니다. 직선의 기울기는 이라고 했습니다. 따라서 A와 B를 지나는 직선의 기울기는 다음과 같이 표현할 수 있습니다.

 

 

이때 직선 AB의 기울기를 A와 B 사이의 ‘평균 변화율’이라고도 합니다. 하지만 미분을 배우고 있는 우리에게 필요한 것은 순간 변화율입니다. 순간 변화율은 x의 증가량(Δ x)이 0에 가까울 만큼 아주 작을 때의 순간적인 기울기를 의미하므로, 극한(limit) 기호를 사용해 다음과 같이 나타냅니다.

 

 

여기서 는 ‘x의 증가량이 0에 가까울 만큼 작을 때’라는 뜻입니다. 기울기는 이므로 순간 기울기는 으로 표현되며, 이것은 라고도 쓸 수 있습니다.

신간 소식 구독하기
뉴스레터에 가입하시고 이메일로 신간 소식을 받아 보세요.