더북(TheBook)

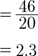
이를 식 4.1에 대입하면 다음과 같습니다.

 

 

기울기 a는 2.3이 나왔네요! 다음은 y 절편인 b를 구하는 공식입니다.

 

(식 4.2)

 

즉, y의 평균에서 x의 평균과 기울기의 곱을 빼면 b 값이 나온다는 의미입니다.

우리는 이미 y 평균, x 평균, 그리고 조금 전 구한 기울기 a까지 이 식을 풀기 위해 필요한 모든 변수를 알고 있습니다. 이를 식에 대입해 보겠습니다.

 

 

신간 소식 구독하기
뉴스레터에 가입하시고 이메일로 신간 소식을 받아 보세요.