더북(TheBook)

 

 

 

TIP

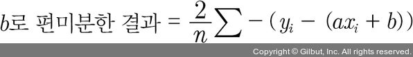
‘3장. 딥러닝을 위한 기초 수학’에서 설명한 ‘미분의 기본 공식 2~5’를 사용해 편미분했습니다.

이를 각각 파이썬 코드로 바꾸면 다음과 같습니다.

y_pred = a * x + b            # 예측 값을 구하는 식입니다.
error = y - y_pred            # 실제 값과 비교한 오차를 error로 놓습니다.
    
a_diff = (2/n) * sum(-x * (error))  # 오차 함수를 a로 편미분한 값입니다. 
b_diff = (2/n) * sum(-(error))      # 오차 함수를 b로 편미분한 값입니다. 
신간 소식 구독하기
뉴스레터에 가입하시고 이메일로 신간 소식을 받아 보세요.