더북(TheBook)

실행 결과

Epoch 1/1000
1/1 [==============================] - 0s 147ms/step - loss: 1.1647
... (중략) ...
Epoch 1000/1000
1/1 [==============================] - 0s 32ms/step - loss: 0.3671

 

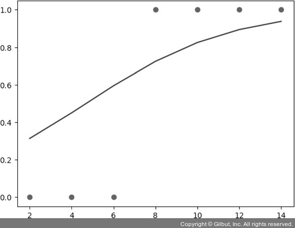
그림 6-9 | 실행 결과

7시간을 공부할 경우, 합격 예상 확률은 66.3%입니다.
신간 소식 구독하기
뉴스레터에 가입하시고 이메일로 신간 소식을 받아 보세요.