실행 결과
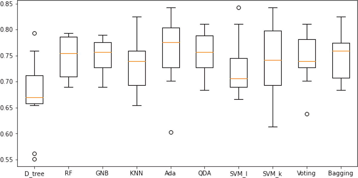
Mean accuracy of D_tree : 67.35 % Mean accuracy of RF : 74.83 % Mean accuracy of GNB : 75.00 % Mean accuracy of KNN : 73.11 % Mean accuracy of Ada : 75.88 % Mean accuracy of QDA : 75.50 % Mean accuracy of SVM_l : 72.58 % Mean accuracy of SVM_k : 73.80 % Mean accuracy of Voting : 74.30 % Mean accuracy of Bagging : 74.82 %

